Vitesse de sédimentation
La vitesse de sédimentation correspond à la vitesse de suspension, de descente et de dépôt avec laquelle une particule se dépose dans un mélange hétérogène.
Les mélanges à plusieurs phases (liquide-solide, liquide-liquide) peuvent être séparés de manière mécanique par l’effet de la gravité (sédimentation). La condition est que les différents composants présentent des densités différentes et ne soient pas solubles les uns dans les autres (comme l’eau et l’huile par exemple).
Quelles forces agissent sur la particule ?
Trois forces ont un effet sur une particule entourée de liquide (solide ou gouttes de graisse dans de l’eau ou gouttes d’eau dans de l’huile) (voir schéma) :
- Poids FG
- Force de traction FA
- Résistance FW

Le poids FG (Field Force, Gravity) s’oppose à la force de traction FA (Buoyant Force) et à la résistance FW. Peu importe que la densité de la particule soit plus grande ou plus petite que le milieu l’entourant, la vitesse de traction ou de descente Vg de la particule est constante.
Calcul de la vitesse de sédimentation
En supposant qu’un écoulement laminaire est présent, la vitesse de sédimentation peut être calculée à l’aide de la loi de Stokes et de l’équilibre des forces.

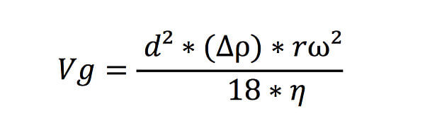
Dans la centrifugation ou le champ centrifuge, on obtient la formule suivante pour la vitesse de sédimentation :

Paramètres ayant une influence sur la vitesse de sédimentation
Cette équation permet de déterminer les paramètres qui ont une influence notable sur les vitesses de flottabilité ou le taux de descente :
Diamètre « d » de la particule : Le diamètre de la particule ou diamètre des particules est exprimé au carré dans la formule. Plus le diamètre est grand (ou le rayon de la particule), plus la vitesse de sédimentation de la particule est élevée.
Différence de densité « Δρ » entre la particule et le liquide : Plus la différence de densité entre la particule et le liquide est élevée, plus la vitesse de la particule est grande et plus la sédimentation du mélange est rapide.
Viscosité dynamique « η » du mélange : Plus la viscosité dynamique du produit est faible, plus la vitesse de sédimentation de la particule est élevée.
Source
[1] Klaus Luckert: Handbuch der mechanischen Fest-Flüssig-Trennung,1. Edition 2004
[2] Horst Kuchling: Pocketbook of Physics; Published by Fachbuchverlag Leipzig, 16. Edition 1996