Grado di separazione (efficacia)
Il termine grado di separazione (in inglese separation efficiency) descrive l’efficacia di un processo di separazione.
Il grado di separazione definisce il rapporto della quantità di materiale espulsa dal sistema (filtro o centrifuga) rispetto a quella in esso alimentata. L’esempio è il quantitativo di sostanza solida in una liquida.
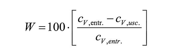
Grado di separazione o efficacia (W) in percentuale

Cv, entr. = volume di sostanza solida in entrata [Vol. %] (*)
Cv, usc. = volume di sostanza solida in uscita [Vol. %] (*)
(*) letto dal fondo del vetro della provetta di centrifugazione da 15 ml dopo 5 min. di centrifugazione a un numero g 1000.
Calcolo esemplificativo
Cv, entr. = 33
Cv, usc. = 2,5
Ne consegue:

L’efficacia o il grado di separazione W è in tal caso 92,42 %
Fonte
VDI 3677 Blatt 2:2004-02 Filternde Abscheider; Tiefenfilter aus Fasern (Filtering separators; Depth fiber filters).