Separation efficiency
Separation efficiency describes the effectiveness of a separation process in process engineering.
Separation efficiency defines the ratio of the amount of material separated in the system (filter or centrifuge) to the amount of material to be separated entering the system. An example is the amount of solids in a liquid.
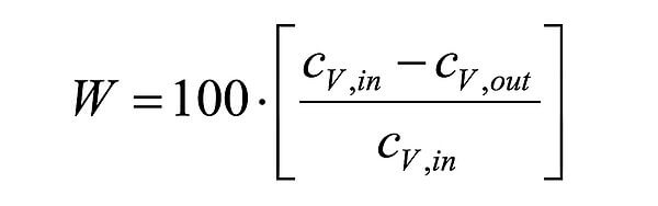
Separation efficiency (W) in percent

Cv, in = solids volume in infeed [Vol. %] (*)
Cv, out = solids volume in discharge [Vol. %] (*)
(*) readout from the bottom of a 15 ml centrifuge glass after 5 min centrifugation at a g force of 1,000.
Example calculation
Cv, in = 33
Cv, out = 2.5
It follows that:

The separation efficiency W here is 92.42%
Source:
VDI 3677 Blatt 2:2004-02 Filternde Abscheider; Tiefenfilter aus Fasern (Filtering separators; Depth fiber filters).
Category
Separation Technology